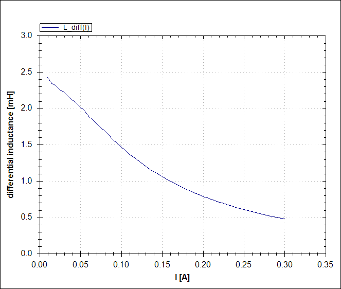
This diagram shows the saturation curve of a current compensated choke using a ferrite toroidal core (2 x 2.7 mH / 8 A, Epcos B82725-A2802-N1). The inductance at a non-compensated current of 100 mA is merely 1.5 mH.
Current compensated chokes also use a leakage inductance that is more or less in magnitude. This is quite desirable since this counter acts the differential mode interference current. The lower diagram shows the leakage inductance of the same choke. Here, the leakage inductance is about 30 µH and is only saturated at a multiple of the rated current.
- PFC choke with nanocrystalline core
- Smoothing choke with ferrite core under temperature influence
- Smoothing choke with high flux core
- Mains line choke with laminated iron core
- VHF choke with ferrite rod core
- 3-phase choke for mains filter
- Current compensated chokes
- Filter choke with iron powder core


