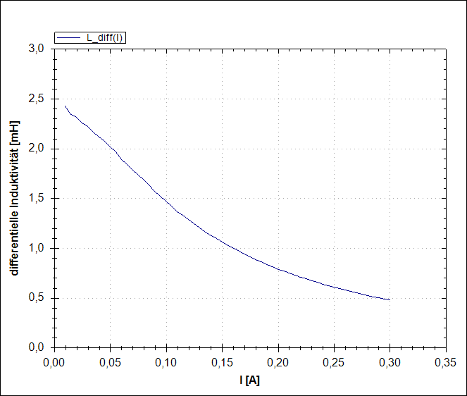
Das nebenstehende Diagramm zeigt die Sättigungskurve einer stromkompensierten Drossel mit Ferritringkern (2 x 2,7 mH/8 A, Epcos B82725-A2802-N1). Bei einem unkompensierten Strom von 100 mA beträgt die Induktivität nur noch rund 1,5 mH.
Stromkompensierte Drosseln besitzen auch eine mehr oder minder große Streuinduktivität. Diese ist durchaus erwünscht, da sie Gegentakt-Störströmen entgegenwirkt. Das Diagramm zeigt die Streuinduktivität der gleichen Drossel. Sie beträgt etwas mehr als 30 µH und sättigt erst bei einem Vielfachen des Nennstromes.
- PFC-Drossel mit nanokristallinem Kern
- Siebdrossel mit Ferritkern unter Temperatureinfluß
- Siebdrossel mit High-Flux-Kern
- Netzdrossel mit geblechtem Eisenkern
- Stabkerndrossenln mit Ferritkern
- 3-phasige Filterdrossel für Netzfilter
- stromkompensierte Entstördrosseln
- Eisenpulverkern-Drossel
- Niederinduktive Hochstrom-SMD-Drossel


